说说 Git 中 HEAD、工作树和索引之间的区别?
说说 Git 中 HEAD、工作树和索引之间的区别?
一、HEAD
在git中,可以存在很多分支,其本质上是一个指向commit对象的可变指针,而Head是一个特别的指针,是一个指向你正在工作中的本地分支的指针
简单来讲,就是你现在在哪儿,HEAD 就指向哪儿
例如当前我们处于master分支,所以HEAD这个指针指向了master分支指针

然后通过调用git checkout test切换到test分支,那么HEAD则指向test分支,如下图:

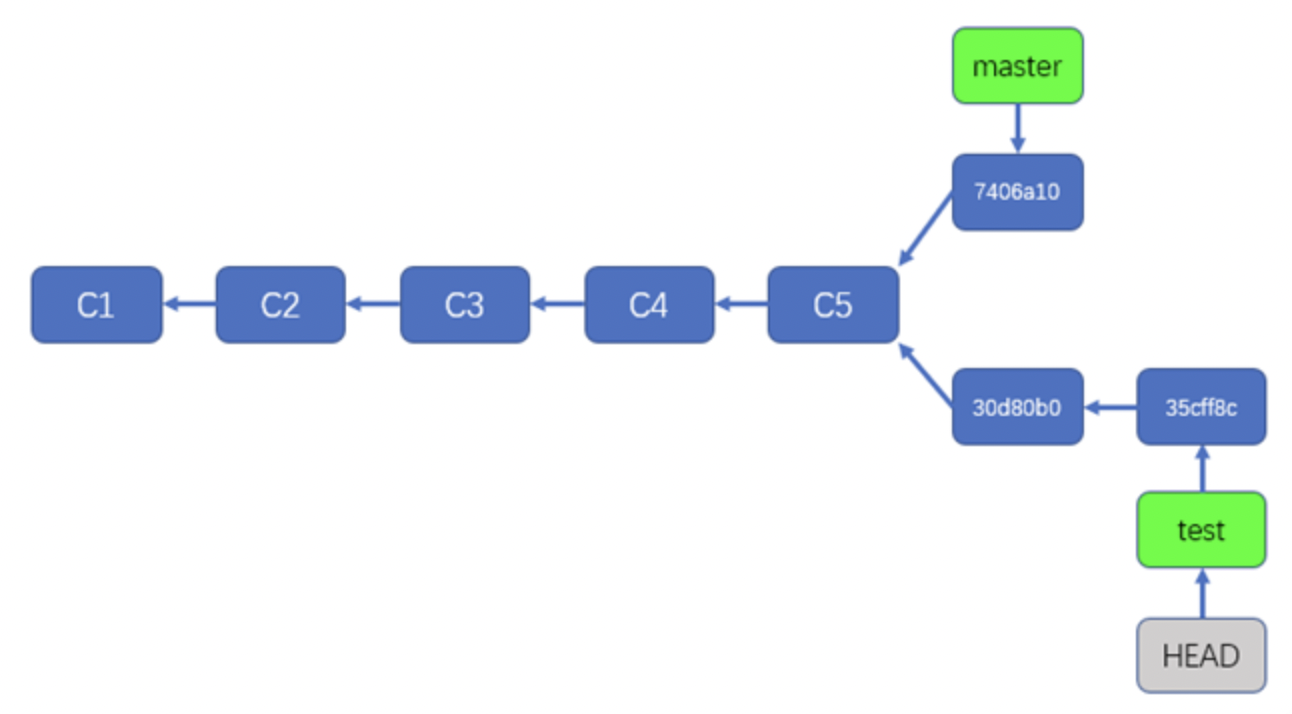
但我们在test分支再一次commit信息的时候,HEAD指针仍然指向了test分支指针,而test分支指针已经指向了最新创建的提交,如下图:

这个HEAD存储的位置就在.git/HEAD目录中,查看信息可以看到HEAD指向了另一个文件
$ cat .git/HEAD
ref: refs/heads/master
$ cat .git/refs/heads/master
7406a10efcc169bbab17827aeda189aa20376f7f
这个文件的内容是一串哈希码,而这个哈希码正是master分支上最新的提交所对应的哈希码
所以,当我们切换分支的时候,HEAD指针通常指向我们所在的分支,当我们在某个分支上创建新的提交时,分支指针总是会指向当前分支的最新提交
所以,HEAD 指针 ——–> 分支指针 ——–> 最新提交
二、工作树和索引
在Git管理下,大家实际操作的目录被称为工作树,也就是工作区域
在数据库和工作树之间有索引,索引是为了向数据库提交作准备的区域,也被称为暂存区域

Git在执行提交的时候,不是直接将工作树的状态保存到数据库,而是将设置在中间索引区域的状态保存到数据库
因此,要提交文件,首先需要把文件加入到索引区域中。
所以,凭借中间的索引,可以避免工作树中不必要的文件提交,还可以将文件修改内容的一部分加入索引区域并提交
三、区别
从所在的位置来看:
HEAD 指针通常指向我们所在的分支,当我们在某个分支上创建新的提交时,分支指针总是会指向当前分支的最新提交
工作树是查看和编辑的(源)文件的实际内容
索引是放置你想要提交给 git 仓库文件的地方,如工作树的代码通过 git add 则添加到 git 索引中,通过 git commit 则将索引区域的文件提交到 git 仓库中
